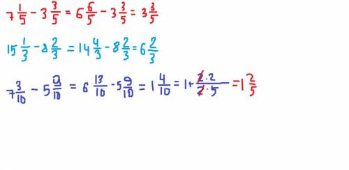
7 1/5 - 3 3/5=
15 1/3 - 8 2/3=
7 3/10 - 5 9/10=

Кокс383939484 Кокс383939484    2   25.02.2020 18:43    2

Ответы
antstuart antstuart  11.10.2020 13:02

7 1/5 – 3 3/5 = (7×5+1) – (3×5+3) = 36/5 – 18/5 = 18/5 = 3 3/5.

15 1/3 – 8 2/3 = (15×3+1) – (8×3+2) = 46/3 – 26/3 = 20/3 = 6 2/3.

7 3/10 – 5 9/10 = (7×10+3) – (5×10+9) = 73/10 – 59/10 = 14/10 = 7/5 = 1 2/5.

ПОКАЗАТЬ ОТВЕТЫ
nasty78ss nasty78ss  11.10.2020 13:02
Другие вопросы по теме Математика