tutotveti.ru
Предметы
Биология
Українська мова
Музыка
Французский язык
Физика
МХК
Обществознание
Психология
ОБЖ
Право
Беларуская мова
Литература
Химия
Українська література
Экономика
Немецкий язык
География
Информатика
Қазақ тiлi
Геометрия
Английский язык
Русский язык
Окружающий мир
Алгебра
История
Другие предметы
Видео-ответы
ПОИСК
Войти
Регистрация
Алгебра
Сумма первых трёх членов возрастающей
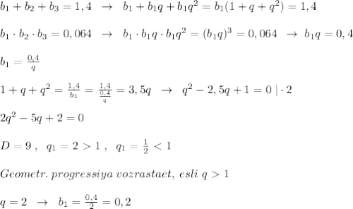
Сумма первых трёх членов возрастающей прогрессии равна 1,4 , а их произведение 0, 064 . найдите сумму первых пяти членов этой прогрессии
KatyaSy
1 22.08.2019 08:30
0
Ответы
саша4278
05.10.2020 12:09
ПОКАЗАТЬ ОТВЕТЫ
Другие вопросы по теме Алгебра
Остап1843
07.12.2021 13:14
ABCD- квадрат, О-точка перетину його діагоналей. Побудуйте проекцію даного квадрата, якщо проекціями його вершин А, В і точки О є точки А1, В1, і О1. До іть будь...
murplushka
07.12.2021 13:11
Постройте графики функций y = x² - 2 и y = x укажите координаты точек пересечения этих графиков...
scorp2003
07.12.2021 13:09
Саске-куну снится кошмар про то, что за ним гонятся Итачи, Орочимару и Сакура с Ино. Саске убегает от них со скоростью 25 км в час. Итачи бежит со скоростью 40 км...
MrSasha1111
22.12.2019 22:37
40 . выполните действия : 1) 26x^7/51y^5 * 34y^3/39x^4 2) (- 7x^2b^3/2y^4x^5)^3 3) 16x^2y^8/15m^4n^8 : (- 8x^3y^5/35m^6n^7) 4) x^2-9y^2/16x^2-9y^2 : x^2+6xy+9y/16x^2-24xy+9y^2...
стас483
22.12.2019 22:36
Определи, при каких значениях переменной не имеет смысла дробь d2−17d+1*дробь*(5d+12)(5d−12). дробь не имеет смысла при d, равном или (первым введи меньшее число)....
Matimatichka
23.12.2019 00:20
Кто нибудь может с первым , хотя бы под одной буквой? ((...
Vov1111
23.12.2019 00:16
1. х+3/2+х - х+3/2-х =20/х^2-42. х-2/х+3+х-2/х-1 =20/ х+3 х-1 . нужно....
мурзик55
23.12.2019 00:14
Найди координаты точки пересечения графика функции y=x−8 с осью x: ( ; )....
145781жл
23.12.2019 00:12
График какой функции изображён на рисунке? изображение вставлено ниже варианты ответов: y=−2x+3 y=2/3(две третьих) x−2 y=−1,5x+2 y=3x−2...
bonbino1
23.12.2019 00:05
Решите все, что есть на фотографии....
Популярные вопросы
Сторона трикутника дорiвнюе4√2 см, а прилеглi до неï кути дорiвнюють...
2
Поданные наречия разберите по составу. громко много быстро кое-как...
3
Дан массив a размера n. сформировать новый массив b того же размера...
2
Написати проект на тему ,,проблеми захисту світу як божого творіння...
1
Дробь равная половине от одной сотой...
2
Найдите длину окружности, описанной около правильного треугольника...
1
Теломераза - фермент, который в некоторых клетках эукариот достраивает...
3
Вквадрате 10x10 закрашено несколько клеток. в каждой строке есть...
2
Заранее перепишите предложения, возьмите в скобки распространенное...
3
Камперметру с сопротивлением 0.5 ом добавили шунт* с сопротивлением...
2