tutotveti.ru
Предметы
Биология
Українська мова
Музыка
Французский язык
Физика
МХК
Обществознание
Психология
ОБЖ
Право
Беларуская мова
Литература
Химия
Українська література
Экономика
Немецкий язык
География
Информатика
Қазақ тiлi
Геометрия
Английский язык
Русский язык
Окружающий мир
Алгебра
История
Другие предметы
Видео-ответы
ПОИСК
Войти
Регистрация
Алгебра
Найдите наименьшее значение функции
Найдите наименьшее значение функции y=x^3+24x^2+13 на отрезке [-4; 4]
dana1835
3 02.06.2019 03:20
2
Ответы
irasemenova1
02.07.2020 23:47
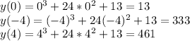
+ - +
-------------|-------------|------------->x
-16 0
-16 точка максимума
0 - точка минимума
ответ: (0;13)
ПОКАЗАТЬ ОТВЕТЫ
Другие вопросы по теме Алгебра
glebyurchenko
28.05.2019 06:10
Надо найти корни уравнения 2014-13*(х+20)=12х-2011....
waterrrfall
28.05.2019 06:10
Преобразуйте выражения в многочлен.! 1.(x-1)^2 2.(3a-b)^2 3.(5z+t)^2 4.(5x-2y)^2 5.(6m-4n)^2 6.(x+c)^2 7.(a-4)^2 8.(0,2a+b)^2...
dariak98
28.05.2019 06:10
Найдите сумму первых 15 членов арифметической прогрессии {an}. а5=27 а27=60 , !...
Jfhfbfnxjdbffj
28.05.2019 06:10
Объясните, как сделать это запишите десятичную дробь, равную сумме 5·10^-1+2·10^-2+1·10^-4...
Aleksandrik0806
31.03.2019 09:00
Из пунка а выехал велосипедист. одновременно вслед за ним из пунката в, отстоящего от пункта а на расстоянии 60 км, выехал мотоциклист. велосипедист ехал сос коростью 12...
kostyuchkova12
31.03.2019 09:00
Для функции y=f(x) найдите первообразную y=f(x), которая принимает данное значение в указанной точке: f(x) =x^5+3x^2, f(0)=-16...
Алекс23102027
31.03.2019 09:00
Надо за струя воды имеет форму параболы, соответствующей графику функции y = -2,5x^2+5x . а) постпойте график функции y = f(x) б) по графику установите наибольшую высоту,...
малина106
31.03.2019 09:00
Точка движется прямолинейно по закону x(t) = 4t^-15t в четвертой степени. найти формулу вычисления скорости в любой момент времени. вычислите скорость и ускорение при t=2....
23LOLKEK
31.03.2019 09:00
Разность двух чисел 12, разность их кубов равна 35028. найти эти числа...
лох248
31.03.2019 09:00
Вычислите синус пи деленное на 6 минус косиинус пи...
Популярные вопросы
Напиши в каждом окне цепочки слово так, чтобы слова в цепочке стояли...
3
Зробити повний синтаксичний розбір речення ще недавно кущ горобини зеленів...
1
Каково жанра это произведение поучение владимира мономаха детям...
3
По чтению составить план к сказке о мертвой царице и семи богатырях!...
2
Докажите что числа 260 и 170 не взаимно простые что 945 и 544 взаимно...
2
Что объеденяет все эти предметы: написанное три века назад письмо: найденный...
3
Решите . 20 выберите один заключённых в скобки варианты. 1. роль раневской...
3
Придложение со словами плакать в три ручья...
1
Класс на расстоянии 510 метров от наблюдателя по железнодорожному рельсу...
3
Поставить в конце предложения пропущенные знаки. -кто вы -мы лисички...
3
+ - +
-------------|-------------|------------->x
-16 0
-16 точка максимума
0 - точка минимума
ответ: (0;13)