Составить уравнения прямых заданных двумя точками
1) a(1; 3) b(4; 1)
2) c(-1; 5) d(3; -7)
3) m(-3; 0) n(0; 5)
4) p(0; 0) q(-3; 5)
5) a(3; -5) b(3; 7)
6) c(7; -1) d(-1; -1)

Anonim654321 Anonim654321    3   27.11.2019 05:58    5

Ответы
nail4iklatyopo nail4iklatyopo  10.10.2020 16:16

Пошаговое объяснение:

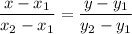
Если прямая проходит через две точки (x₁y₁) и (x₂y₂),

то уравнение прямой можно найти, используя формулу:

\dfrac{x-x_1}{x_2-x_1} =\dfrac{y-y_1}{y_2-y_1}\\ \\


Составить уравнения прямых заданных двумя точками 1) a(1; 3) b(4; 1) 2) c(-1; 5) d(3; -7) 3) m(-3;
ПОКАЗАТЬ ОТВЕТЫ
Другие вопросы по теме Математика