Решить уравнение: (2x+1/x)^2+(2x-1/x)-10=0 (корень х=1 виден сразу, есть ли еще? )

Яумницакрасотка Яумницакрасотка    3   20.08.2019 02:30    2

Ответы
vikulya30 vikulya30  05.10.2020 06:30
Заметим, что (2x+1/x)^2=4x^2+4+1/x^2 и (2x-1/x)^2=4x^2-4+1/x^2 отличаются на 8. Поэтому уравнение можно переписать в виде 
(2x-1/x)^2+(2x-1/x)-2=0; замена (2x-1/x=t; t^2+t-2=0; (t+2)(t-1)=0; t=-2 или t=1. В первом случае получаем уравнение 2x^2+2x-1=0; x=  (-1+√3)/2; x=(-1-√3)/2. Во втором случае уравнение 2x^2-x-1=0; x=1; x=-1/2
ПОКАЗАТЬ ОТВЕТЫ
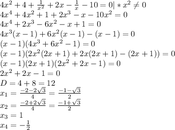
Danulchukik Danulchukik  05.10.2020 06:30
4x^2+4+ \frac{1}{x^2} +2x - \frac{1}{x} -10 = 0 |*x^2 \neq 0\\
4x^4+4x^2+1+2x^3-x-10x^2=0\\
4x^4+2x^3-6x^2-x+1=0\\
4x^3(x-1)+6x^2(x-1)-(x-1)=0\\
(x-1)(4x^3+6x^2-1)=0\\
(x-1)(2x^2(2x+1)+2x(2x+1)-(2x+1))=0\\
(x-1)(2x+1)(2x^2+2x-1)=0\\
2x^2+2x-1=0\\
D = 4+8=12\\
x_1= \frac{-2-2 \sqrt{3} }{4} = \frac{-1- \sqrt{3} }{2} \\
x_2= \frac{-2+2 \sqrt{3} }{4} = \frac{-1+\sqrt{3} }{2} \\
x_3 = 1\\
x_4=- \frac{1}{2}

уравнение имеет 4 корня
ПОКАЗАТЬ ОТВЕТЫ
Другие вопросы по теме Математика