Решить . нужно)) из пункта a в пункт b доставлен груз. от пункта a его везли в автофургоне, а потом переложили на ожидавший грузовик, причём грузовик проехал до пункта b расстояние в три раза меньше, чем автофургон от пункта a до места перегрузки (время, потребовавшееся на перегрузку, считается равным нулю). при этом для доставки груза из пункта a в пункт b потребовалось время, равное времени проезда из пункта a в пункт b со скоростью 64 км/ч. если бы автофургон и грузовик выехали из пунктов a и b одновременно навстречу друг другу, то они встретились бы через промежуток времени, необходимый для проезда из пункта a в пункт b со скоростью 120 км/ч. с какой скоростью ехал грузовик, если известно, что скорость автофургона не превосходит 75 км/ч. желательно подробное решение.

dhkbzdyjnxx dhkbzdyjnxx    2   13.07.2019 18:40    5

Ответы
tanecka2 tanecka2  25.08.2020 07:58
1 - это путь от А до В
3/4 пути - проехал автофургон
1/4 пути - проехал грузовик
х км/ч - скорость грузовика
120 - х км/ч - скорость автофургона
1/64 - время, затраченное на доставку груза
по условию задачи скорость автофургона <75 км/ч

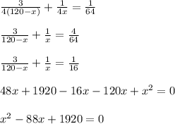
\frac{3}{4(120-x)}+ \frac{1}{4x}= \frac{1}{64} \\ \\ \frac{3}{120-x}+ \frac{1}{x}= \frac{4}{64} \\ \\ \frac{3}{120-x}+ \frac{1}{x}= \frac{1}{16} \\ \\ 48x+1920-16x-120x+x^2=0 \\ \\ x^2-88x+1920=0

По теореме Виета: х₁ = 40 км/ч
                                  х₂ = 48 км/ч

скорость грузовика х₁ = 40 км/ч - не удовлетворяет условию задачи, т.к. при такой скорости грузовика скорость автофургона получается 120 - 40 = 80 км/ч > 75 км/ч

Значит, скорость грузовика = 48 км/ч (проверка: скорость автофургона: 120 - 48 = 72 км/ч < 75 км/ч - удовлетворяет условию задачи)
ПОКАЗАТЬ ОТВЕТЫ
Другие вопросы по теме Математика