tutotveti.ru
Предметы
Биология
Українська мова
Музыка
Французский язык
Физика
МХК
Обществознание
Психология
ОБЖ
Право
Беларуская мова
Литература
Химия
Українська література
Экономика
Немецкий язык
География
Информатика
Қазақ тiлi
Геометрия
Английский язык
Русский язык
Окружающий мир
Алгебра
История
Другие предметы
Видео-ответы
ПОИСК
Войти
Регистрация
Математика
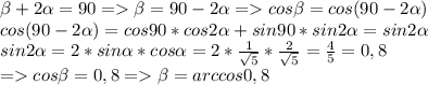
Решить №404(картинка).ответ должен
Решить №404(картинка).
ответ должен быть arccos 0.8.
krictina1959
3 21.09.2019 14:28
1
Ответы
mariamya
08.10.2020 07:19
arccos0,8
Пошаговое объяснение:
1) Треугольник ABD прямоугольный =>
2)
ПОКАЗАТЬ ОТВЕТЫ
Другие вопросы по теме Математика
Gandondddddd
17.04.2021 09:46
Арман в пятницу продал x + 3 билетов, а в субботу на х билетов больше чем в пятницу. За два дня всего было продано 45 билетом. Найдите значение х A) 11 B) 13 C) 15 D) 18...
4534567889246400607
17.04.2021 09:45
сколько существует таких номеров, которые начинаются с 7-900-*** *** * , и которые не похожи друг на друга?...
puremoorning
17.04.2021 09:43
1-ctg b / 1 - tg b спростити...
obuhovasveta
17.04.2021 09:42
228 (146) 193116 (?) 91ответы: 8, 102, 100 Почему? ...
VladusGrif
17.04.2021 09:39
7. Реши уравнения.2.(4.6) = 148 - 52y :(5.7) - 36:18. это лихко изи пизи ...
Настя21438
17.04.2021 09:39
Сформулируйте определение производной функции в точке. Каков физический смысл производной?Каков геометрический смысл производной?Какая операция называется дифференцированием? Какие...
aydin51
17.04.2021 09:38
Ерлан на 3/7 своих денег купил 6 яблок и 10 бананов. Если цена количество бананов Ерлан может купить на все оставшиеся деньги? 3 - x A) 14 B) 16 С) 18 D) 20 E) 22 яблок равна...
18minina
17.04.2021 09:33
Решите подробно. 1/2 + 5/6 : (1 1/2 - 3/4) × 1 4/5 =(1 1/2 значит одна целая 1/2).(1 4/ значит одна целая 4/5)(1/2,5/6,3/4 это дроби)...
FFFFFF1223
17.04.2021 09:33
. Найдите четвертый член последовательности,сумма первых п членов которой равна 3^n-1+1....
лехаleha
17.04.2021 09:33
графічний метод розв язування рівнянь що містить модуль лінійної функції. Объясните как решать. Например ||x+7|-2|=1...
Популярные вопросы
Решите предел lim n ⇒∞ 7n+5/n+2 lim n⇒∞ 3n+1/n+2 lim n ⇒ ∞2n-1/3n-1 lim...
2
По каким признакам проводится классификация усилителей?...
3
Вокончании какого существительного никогда не пишется буква е? а) о метел.;...
3
Биржа запланировала провести торги в июле и августе. если объём торгов...
3
Решить в ! дана матрица а состоящая из m строк n столбцов найти среднее...
3
Нужно по татарскому сыйфатларны сыйфатланмышлары белан язып ал шаулап...
1
Найдите объем цилиндра если диаметр его основания равен 8 см, а высота...
2
What is there for tourists to do in your town or city? write 25-35 words...
2
Рост дохода потребителей приводит к падению спроса на товары ?...
1
Краткий пересказ карамзинн бедная лиза кратко для читательского дневника...
2
arccos0,8
Пошаговое объяснение:
1) Треугольник ABD прямоугольный =>
2)