tutotveti.ru
Предметы
Биология
Українська мова
Музыка
Французский язык
Физика
МХК
Обществознание
Психология
ОБЖ
Право
Беларуская мова
Литература
Химия
Українська література
Экономика
Немецкий язык
География
Информатика
Қазақ тiлi
Геометрия
Английский язык
Русский язык
Окружающий мир
Алгебра
История
Другие предметы
Видео-ответы
ПОИСК
Войти
Регистрация
Математика
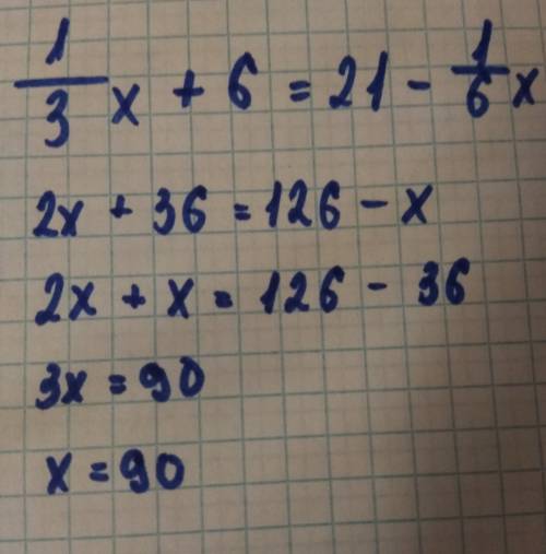
Реши уравнение: 1/3x+6=21−1/6x
Реши уравнение: 1/3x+6=21−1/6x ! 1/3 и 1/6 это дроби.
kateadel01
1 18.09.2019 02:30
2
Ответы
yulakri
01.09.2020 17:00
Не забудь поблагодарить )))))))))))
ПОКАЗАТЬ ОТВЕТЫ
gfdehk
01.09.2020 17:00
1/3х+6=21-1/6х
1/3х+1/6х=21-6
2/6х+1/6х=15
3/6х это 1/2х это 0,5х
0,5х=15
х=15:0,5
х=30
ПОКАЗАТЬ ОТВЕТЫ
Другие вопросы по теме Математика
Sambufer1
13.02.2021 13:34
2a³+54b⁶x³-yx-x²+yx²a+5b+a²-25b²ac⁶-ac⁴-c⁶+c⁴...
Kkttkk
13.02.2021 13:34
решит задачу! У першому контейнері було 36,7 кг буряків, а в другому на 19,7 кг більше, ніж у першому. Скільки кілограмів буряків було в двох контейнерах разом?...
Baterie
13.02.2021 13:33
6.18На основании статических данных установлена вероятность того что пятилетний ребёнок перенесёт заболевание А, равна 0,001. В детской поликлинике зарегистрировано 400 детей....
Halimedy
13.02.2021 13:33
27. Дженни смешивает воду с сахаром, масса которой составляет 2000 гр, а содержание сахара равно 10%. Через несколькоднейсодержание сахара составляет 20%. Каков вес сахарнойводы...
fukaczumi
13.02.2021 13:32
Какое из чисел находится в промежутке [2; 3] 1) 2/3 2) 14/6 3) 15/2 4) 23/12 В ответ укажите номер правильного ответа....
ееее70
13.02.2021 13:32
Хлопчик готував уроки 1год.20хв.На математику витратив 1/4часу.На вірш 1/5часу.Скільки часу учень виконував завдання з мови...
nikolau2011mil
13.02.2021 13:31
2 Найдите значение выражения: корень из { a{ в степени 2 } минус 10ab плюс 25b в степени 2 } при а=2, b=5...
palieva69
13.02.2021 13:30
Найдите наибольшее пятизначное число, которое в 138 раз больше квадрата суммы своих цифр....
АлинаКовтун
13.02.2021 13:29
Постройте график функции -(х-6)^2+9...
vikki01092
13.02.2021 13:29
Известно, что отрезок АМ=29см, АВ=ВС,СD=DE,ЕF=FK,KL=LM, а DF=10см. Найдите длину отрезка BL. Я надеюсь кто нибудь мне...
Популярные вопросы
Уважаемые философы, обращаюсь к вам. Если ответ подойдёт, ...
3
Задания А,Б,В Буду очень благодарен за ответ!...
3
Какую политику проводил Тауекель хан для объединению казахских земель...
2
Сравните засуху или отсутствие пищи и радиацию как факторыокружающей среды,...
3
Почему перед началом закаливания рекомендуется вылечить больные зубы...
3
выберите ответ и минимум или максимум...
3
Проаналізуйте Корюківську трагедію. Зробіть власні припущення: чому партизани...
3
Що уособлює образ галерника в однойменному Biрші Л. де Гонгори?...
1
Что такое течение?какие они бывают...
2
Запишите, стихотворения каких поэтов включены в раздел учебника «Стихи...
3
1/3х+1/6х=21-6
2/6х+1/6х=15
3/6х это 1/2х это 0,5х
0,5х=15
х=15:0,5
х=30