tutotveti.ru
Предметы
Биология
Українська мова
Музыка
Французский язык
Физика
МХК
Обществознание
Психология
ОБЖ
Право
Беларуская мова
Литература
Химия
Українська література
Экономика
Немецкий язык
География
Информатика
Қазақ тiлi
Геометрия
Английский язык
Русский язык
Окружающий мир
Алгебра
История
Другие предметы
Видео-ответы
ПОИСК
Войти
Регистрация
Математика
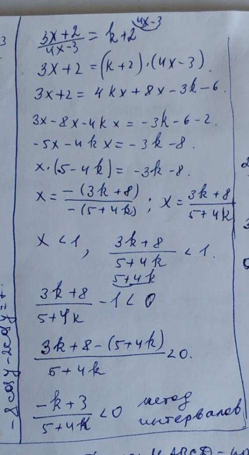
При каких значениях k уравнение
При каких значениях k уравнение
имеет корни меньше 1?
даниля3
1 16.08.2020 04:26
1
Ответы
AnnieFire1
15.10.2020 15:58
Пошаговое объяснение:
решение во вложении ( два фото)
ПОКАЗАТЬ ОТВЕТЫ
Другие вопросы по теме Математика
Sweetdreams2003
17.09.2021 15:32
Серед данных пар укажіть пару взаємну простых чисел а) 65 і 20 б) 34 і 17 в) 36 і 63 Г) 21 і 40...
tamiirap01inx
17.09.2021 15:31
2. Розв яжи задачу, використовуючи обернені дії. Івась запитав Гриця: «Скільки сторінок пригодницької повісті ти вже прочитав?». Гриць відповів: «Якщо число прочитаних сторінок...
xalka2004
17.09.2021 15:30
. Нужно решить задачу (с объяснением). Очень !)...
Аurikа
17.09.2021 15:29
Скількома модна розподілити два квитки у кіно серед десяти студентів...
vnigmatullina
17.09.2021 15:26
Чему равно расстояние между велосипедистами через t часов? Записать формулу Через сколько часов они встретятся?...
Annaaa63879
17.09.2021 15:24
A. b b a : b Найди значения выражен) 1 000 000 - (296 158 + 575 964) - 90 318 a)...
машакараулова02
17.09.2021 15:24
верно ли, что основания любой призмы лежат в параллельных плоскостях? а) да; б) нет: многогранники 6 класс...
scritinomerok
17.09.2021 15:24
Выполни действия: а) разбей число 56 в отношении 2:4:1; б) разбей число 95 в отношении 2:46:7 ответ: a) И. 6) И...
Soldat098
17.09.2021 15:24
Найти значение выражения, если: a = 21; b = 47. a +87 + b [ ] Упростить выражение: 4*(31x – 17 + 54x) [ ] Упростить выражение и найти значение, если у = 12 43у – 14у + 39у –...
Meager36655
17.09.2021 15:23
4. Выполните деление с остатком (столбиком + запись в строчку) A) 14 168 на 28 Б) 5 172 на 56...
Популярные вопросы
Який член речення слово теж у речені: другорядні теж важливі члени речення....
1
По движущейся цели производится 3 выстрела из орудий.вероятность попадания...
3
От прямоугольника с двух противоположных сторон отрезали по квадрату так,...
2
Проеклонять словосочитания золотая рожь золотой луг золотое кольцо....
3
Вкаком варианте ответа средством выразительности речи является метафора?...
3
Из двух городов, расстояние между которыми 52 км, одновременно выехали на...
3
Напишите уравнения реакций которые надо провести для осуществления следующих...
1
Найти полный световой поток ф_0 излу чаемый источником сила света которого...
3
№00eb8f в ниже предложениях из прочитанного текста пронумерованы все запятые....
1
Найти диаметр окружности, имея размер хорды и перпендикуляр до дуги?...
3
Пошаговое объяснение:
решение во вложении ( два фото)