tutotveti.ru
Предметы
Биология
Українська мова
Музыка
Французский язык
Физика
МХК
Обществознание
Психология
ОБЖ
Право
Беларуская мова
Литература
Химия
Українська література
Экономика
Немецкий язык
География
Информатика
Қазақ тiлi
Геометрия
Английский язык
Русский язык
Окружающий мир
Алгебра
История
Другие предметы
Видео-ответы
ПОИСК
Войти
Регистрация
Математика
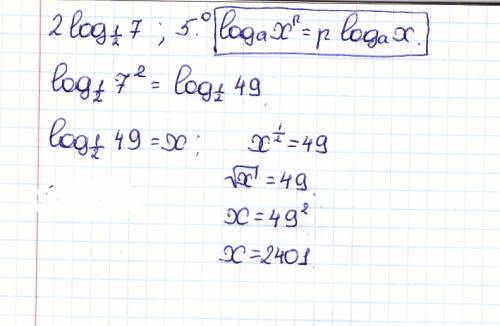
Объясните ,как посчитать : 2
Объясните ,как посчитать : 2 log по основанию 1/2 числа 7?
vadiЬПФН
1 13.07.2019 21:20
1
Ответы
YULIAJUICE
20.09.2020 09:23
Думаю здесь нужно использовать 5 свойство логарифмов.Посмотри,может так)
ПОКАЗАТЬ ОТВЕТЫ
Другие вопросы по теме Математика
ВіКтОрІя0901
30.04.2021 18:16
Путь от дома до школы равный 1.2 км сережа за 15 минут, а обратный путь - за 20 мин. Вставь в предложения пропущенные числа. Скорость Сережи на обратном пути уменьшилась- на...
mczuf
30.04.2021 18:17
Накресліть пряму m , позначте роза нею точку А . Проведіть через точку А пряму а , паралельну прямій m і пряму b, перпендикулярну прямій m...
demirooova
30.04.2021 18:17
К швейной фабрики завезли 300000 пуговиц в пакетах. В первый день использовали 300 пакетов по 250 пуговиц в каждом пакете, а на другой день - 3/4 остальных пуговиц. Сколько пуговиц...
07090702
30.04.2021 18:18
1) 1 % от числа 800; 2) 1 % от числа 4; 3) 12 % от числа 45; 4) 15 % от числа 60; 5) 84 % от числа 140; 6) 120 % от числа 50....
graf2231
30.04.2021 18:19
Разделите 139700 : 2 в столбик...
никитоз3
30.04.2021 18:19
С Решите системы уравнений подстановки (1450, 1451).мне нужно только 1 пример с 1450 и 1 пример с 1451. мне просто надо. можно на листочке и с подробным решением...
jovenkonatalia
30.04.2021 18:19
Из двух городов выехали одновременно навстречу друг другу две машины. Одна до встречи 873 км со скоростью 97 км/ч, а скорость другой 114 км/ч. Найти расстояние между городами?...
vladgubin78
30.04.2021 18:20
В магазине продаются Шалтаи и Болтаи, причем 175 Шалтаев стоят дороже, чем 125 Болтаев, но де-шевле, чем 126 Болтаев. Докажите, что для покупкиз Шалтаев и 1 Болтая одного рубля...
dawavika
30.04.2021 18:20
Постройте с циркуля и линейки угол АВС на прямой d ...
seniorkovalyov
30.04.2021 18:20
1. Существует ли трёхзначное число, которое равно про-изведению своих цифр? ответ объясните....
Популярные вопросы
Нарушение правил! Рассмотри рисунок.В чём ошибся художник?Каких предметов...
1
Из пункта А в пункт Б ехать 134 км,автомобиль едет со скорость 80,5 км/ч.Вопрос:что...
1
Порівняйте за до таблиці неспецифічний та специфічний імунітет і знайдіть...
3
ВАС! Подготовить сообщение о режиме питания (что это такое и для чего нужно)...
1
Указать разницу между Великобританией и Америкой + цифровую форму для каждой...
1
Як мовою програмування Python реалізувати вкладені розгалуження...
2
на экзамене по математике 30 билетов ученик выучил 15 билетов какова вероятность...
2
Чим були викликані і в чому полягали зміни в організації дипломатичної служби?...
2
8 graроизведение двух чисел больше одного из них в 15 рав 6 раз. Найди эти...
3
Твір розповідного характеру про виконання улюбленої справи в художньому стилі(танц...
2