tutotveti.ru
Предметы
Биология
Українська мова
Музыка
Французский язык
Физика
МХК
Обществознание
Психология
ОБЖ
Право
Беларуская мова
Литература
Химия
Українська література
Экономика
Немецкий язык
География
Информатика
Қазақ тiлi
Геометрия
Английский язык
Русский язык
Окружающий мир
Алгебра
История
Другие предметы
Видео-ответы
ПОИСК
Войти
Регистрация
Математика
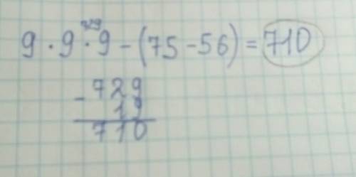
1) произведение трёх чисел,каждое
1) произведение трёх чисел,каждое из которых равно 9,уменьшить на разность чисел 75 и 56
18фо
2 05.09.2019 07:40
1
Ответы
псдрпл
10.08.2020 14:09
9*9*9 - (75-56)= 729- 19=710
ПОКАЗАТЬ ОТВЕТЫ
полнаума
10.08.2020 14:09
Вот)) Всегда готова
ПОКАЗАТЬ ОТВЕТЫ
Другие вопросы по теме Математика
Антонggez
06.06.2019 04:40
Дополнить условие и решить её.и правильно записать условие. на велосепедов.среди них женских - в 3 раза больше,а остальные велосипеды детские. сколько детских велосипедов...
xalmatovr
06.06.2019 04:40
Найдите число, если: а) 1% этого числа равен 0,73; б) 9% этого числа равны 27,9; в) 220% этого числа равны 11....
mrazamar0kk
06.06.2019 04:40
Правильно оформить решение в первом классе.с груши бабаушка собрала сначала 7 кг плодов,а потом еще 6 кг.из них 5 кг она сварила компот.скоько кг осталось у бабушки?...
андрюха87
06.06.2019 04:40
Схема к предложению ..советую тебе серёжа присмотреться к осеннему лесу.. - говорил отец....
sapogidarom
06.06.2019 04:40
Сколько процентов целого приходится на его: половину; четверть? ? ?...
ЛиляОлье1
06.06.2019 04:40
Найди корни данных уравнений. х-256873=482369 234651+х=852134 х: 28=35687 15*х=12645 все вычисления выполни столбиком....
Unicorn200511
06.06.2019 04:40
Запиши выражения и найди их значения. 1) разность чисел 90 и 18 уменьшить в 9 раз. 2) 40 увеличить на произведение чисел 9 и 6. 3) частное чисел 81 и 9 уменьшить в 3 раза....
pe4enel
06.06.2019 04:40
З12 м тканини пошли 3 однакові сукні. скільки метрів тканини потрібно для пошиття 9 таких суконь?...
ИгорьВсемогущий
06.06.2019 04:40
Найдите значение выражения -17х+2y+3y+3x+4x, если х=1,25, y=0,02...
VikaCat3364
06.06.2019 04:40
Вдвух ящиках было 36 кг. гвоздей и 12 кг. гвоздей. все гвозди разложили в пакеты по 6 кг. сколько взяли пакетов? ( реши двумя...
Популярные вопросы
Особенности природы и населения северных материков сходство и различия...
1
Отдыхаюший на водном велосипеде проплывёт расстояние 15м за 30 секунд...
3
Две причинно-следственные связи о правлении ивана грозного...
1
Выберите признаки, характерные только для членистоногих (три ответа из...
2
Где окажется выполнитесь,выполнивший 16 раз подряд следующую группу команд?...
3
Городской бюджет составляет 45 млн рублей, а расходы на одну из его статей...
3
Опишите один день вашей жизни(лучший момент)...
1
Составьте описание компонентов природы африки...
2
)) укажите верные ответы на вопрос. какие кости скелета человека соединены...
3
Решите уравнение: (х+7целых 9\16) - 4целых 3\16 = 5целых 1\16....
2