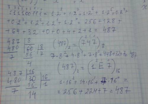
Перевести число (111100111) из двоичной системы счисления в восьмеричную, шестнадцатеричную системы счисления, выполнить проверку в десятичной системе счисления

NastyaPaz NastyaPaz    2   01.10.2019 20:00    0

Ответы
Scvetocheek1 Scvetocheek1  21.08.2020 19:59
Решение на фотографие тепер довольна
Перевести число (111100111) из двоичной системы счисления в восьмеричную, шестнадцатеричную системы
ПОКАЗАТЬ ОТВЕТЫ
DashaKim123 DashaKim123  21.08.2020 19:59

Для перевода из двоичной в восьмеричную разделяем число на триады (по три цифры) и каждую триаду переводим в восьмеричную систему.

Для перевода из двоичной в шестнадцатеричную разделяем число на тетрады (по четыре цифры) и каждую тетраду переводим в шестнадцатеричную систему.



Перевести число (111100111) из двоичной системы счисления в восьмеричную, шестнадцатеричную системы
Перевести число (111100111) из двоичной системы счисления в восьмеричную, шестнадцатеричную системы
ПОКАЗАТЬ ОТВЕТЫ
Другие вопросы по теме Информатика