Напишите уравнение прямой проходящей через точки м(-2: 6)n(7: -3)

alena645 alena645    3   05.10.2019 19:00    0

Ответы
тимур624 тимур624  09.10.2020 22:17

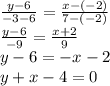
Уравнение прямой проходящей через точки с координатами (x1; y1) и (x2; y2) записывается так:

\frac{y-y_1}{y_2-y_1}=\frac{x-x_1}{x_2-x_1}

Подставим координаты точек M и N:

\frac{y-6}{-3-6}=\frac{x-(-2)}{7-(-2)}\\\frac{y-6}{-9}=\frac{x+2}{9}\\y-6=-x-2\\y+x-4=0

ПОКАЗАТЬ ОТВЕТЫ
Другие вопросы по теме Геометрия