Некоторую массу воды с начальной температурой 50°с нагревают до температуры кипения, пропуская через нее пар при температуре 100°с. на сколько процентов увеличится при этом масса воды? удельная теплоемкость воды 4200 дж/(кг*к), удельная теплота парообразования воды 2,1*10^6 дж/кг. максимально подробно

tushenka88 tushenka88    1   24.08.2019 06:30    24

Ответы
curlyprettygirl curlyprettygirl  05.10.2020 16:06
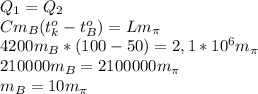
Q_1=Q_2\\
Cm_B(t_k^o-t_B^o)=Lm_\pi\\
4200m_B*(100-50)=2,1*10^6m_\pi\\
210000m_B=2100000m_\pi\\
m_B=10m_\pi
Это значит, что для нагревания какого-то количества воды на 50°C требуется конденсация количества пара температурой 100°С в 10 раз меньше, что составляет 10%. То есть пар, конденсируясь, преобразуется в воду, и, в итоге, получается воды на 10% больше от прежнего количества.
ответ: на 10%
ПОКАЗАТЬ ОТВЕТЫ
Другие вопросы по теме Физика