tutotveti.ru
Предметы
Биология
Українська мова
Музыка
Французский язык
Физика
МХК
Обществознание
Психология
ОБЖ
Право
Беларуская мова
Литература
Химия
Українська література
Экономика
Немецкий язык
География
Информатика
Қазақ тiлi
Геометрия
Английский язык
Русский язык
Окружающий мир
Алгебра
История
Другие предметы
Видео-ответы
ПОИСК
Войти
Регистрация
Физика
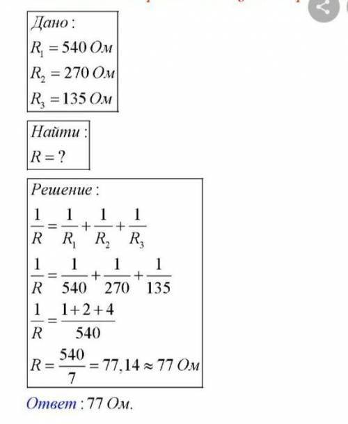
Две лампочки электрической цепи
Две лампочки электрической цепи имеют общее сопротивление 26(Ом). Расчитайте сопротивление каждой лампочки.
Alekseev709
3 17.03.2021 15:51
3
Ответы
genagnatyk123
17.03.2021 16:00
Вот ответ. Быстро списывайте. Это правильно.
ПОКАЗАТЬ ОТВЕТЫ
Другие вопросы по теме Физика
proadidas90
20.02.2022 10:06
Выполните необходимые вычисления и заполните таблицу...
pivovarchik077
20.02.2022 10:25
Небольшая бусинка массой m, находящаяся на гладком горизонтальном столе, соединена горизонтальной пружиной со стеной. Бусинку смещают от положения равновесия на расстояние...
Sanpotion
20.02.2022 10:35
Пуля со скоростью 600 м/с ударяет в земляной вал и проникает в него на глубину 0,3 м. Определить ускорение и время движения пули внутри вала....
kristka98
20.02.2022 10:37
Fсила архимеда=49НРтелоплотность-240кг/м3Vтело-?найдите V и будет ли сплывать или ?...
dreygar
20.02.2022 10:44
Электрическая плита при силе тока 5А за 30 мин потребляет 1080 к Дж энергии. Определите сопротивление этой плиты...
mashakuznetsova211
20.02.2022 10:46
Для приготовления домашнего майонеза Лизе нужно 270 г оливкового масла. К сожалению, у неё под рукой нет весов, но зато в кухонном шкафу есть мерный стаканчик для жидкостей....
dmit0
20.02.2022 10:50
ДАЮ 100 Б Які покази амперметра, якщо опір резистора 2 кОм, а напруга на ньому 12В А) 0,006 А Б)6 А В)0,06 А Г)0,6 А...
mynigga49
20.02.2022 10:51
Химический состав тела, можно определить по спектру, потому что: Все тела изучают электромагнитные волны Излучение всех атомов схожи по длинам волн Излучение каждого...
екатерина24131
20.02.2022 10:56
R₂ Uobe A Ra RI Эквивалентное сопротивление...
Gootya1
20.02.2022 11:01
Батарея аккумуляторов имеет ЭДС 12 В и внутреннее сопротивление 0,005 Ом. Определить силу тока, протекающего через стартер автомобиля в момент его запуска, и напряжение...
Популярные вопросы
Объясните как это решать, : ) в городском парке 16 берёз. какую часть...
3
Стихи булгакова можете скинуть? ...
3
Мне нужно вас мне , , заранее ...
1
Составте правильно вопрос. ) 10 за нетрудное...
3
Вхозяйстве принято решение: для подростков сменную норму выработки...
3
Построить аккордовые последовательности в ля мажоре : т; d64; d65;...
3
Колесо, содержащее 32 равноотстоящих спицы, фотографируют во время...
2
С3. весь интернет обряда,ответа нигде нет ...
1
Напишите эссе повествование о том,что произойдет с вашей местностью,если...
3
Найти в интернете информацию? в 30-е годы в сша мультипликатор государственных...
2
Вот ответ. Быстро списывайте. Это правильно.