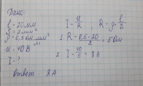
8класс,если что. определите силу тока на участке цепи,состоящей из проволоки длиной 20мм,сечением 2мм(в квадрате),если напряжение на концах этого участка равно 40в.удельное сопротивление материала,из которого сделана проволока 0,5 ом*мм(в квадрате)/м

daryadaletskay daryadaletskay    3   25.09.2019 19:30    2

Ответы
VikaKharitoniv VikaKharitoniv  08.10.2020 19:08
•••••••••••••••••••••••••••(см во вложения)
8класс,если что. определите силу тока на участке цепи,состоящей из проволоки длиной 20мм,сечением 2м
ПОКАЗАТЬ ОТВЕТЫ
Другие вопросы по теме Физика