tutotveti.ru
Предметы
Биология
Українська мова
Музыка
Французский язык
Физика
МХК
Обществознание
Психология
ОБЖ
Право
Беларуская мова
Литература
Химия
Українська література
Экономика
Немецкий язык
География
Информатика
Қазақ тiлi
Геометрия
Английский язык
Русский язык
Окружающий мир
Алгебра
История
Другие предметы
Видео-ответы
ПОИСК
Войти
Регистрация
Алгебра
Sin(2x-7п/2)+sin(3п/2-8x)+cos6x=1
Sin(2x-7п/2)+sin(3п/2-8x)+cos6x=1 решить уравнение
vikagalimzhano
1 01.07.2019 20:10
2
Ответы
mxnty
26.07.2020 07:22
Пусть
, тогда получаем
Пусть
, тогда получаем
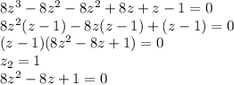
Разложим на множители
Находим дискриминант
Возвращаемся к замене от z
Возвращаемся к замене от t
ПОКАЗАТЬ ОТВЕТЫ
Другие вопросы по теме Алгебра
Петя1134
28.10.2020 14:05
5x2+3x*(2b-7bx+4)-4b(3x+2x2) Умножить одна член на многочлен одинаковые члены сложить...
ФКЗенит1
28.10.2020 14:05
не могу дорешать нужно раскрыть скобки(x2-y3)2=x4+y6+ ?...
spudimun50
28.10.2020 14:05
Найдите периметр фигуры ответ запишите в виде многочлена стандартного вида и укажите его степень...
niuaki
28.10.2020 14:05
Өрнекті ықшамдаңыз теззз менде бжб...
fadasgferson
28.10.2020 14:05
2.112. Найдите значение выражения: 1) (x-4)(x-2)-(x-1)(x-3) при x=1 3/42) (a-5)(a-1)-(a-2)(a-3) при a=-2 3/53) (x-2)(x-3)+(x+6)(x-5)-2(x^2-7x+13) при x=5,64) (3m-1)(m+1)+(2m-1)(m-1)-(5m+5)(m-2)...
Lara138009
08.05.2020 02:47
5а2-10ab+5b2, якщо a= 7.3, b =2.3...
energy428
08.05.2020 02:48
Выполните действия (3c-4d/4c-3d - 3c+4d/4c+3d): 14/4c+3d + 4c^2-2cd/4c-3d...
JAHGH
08.05.2020 02:50
(2x-2y)(4x+5y) решите быстро с полным ответом...
Tanjusha576
16.03.2020 20:50
решить записать все четко, понятно , расписать ....
kholmatova002
16.03.2020 20:50
Выражение (x+2)^6 представили в виде многочлена стандартного вида (раскрыли скобки). Определите коэффициент перед x^3....
Популярные вопросы
Раставьте знаки препинания в предложении. озеро уже замёрзло и...
2
Установите соответствие между именами правителей и событиями происходившими...
1
Что осуждает писатель в рассказе кавказский пленник...
3
Значение саранчей в природе и жизни человека...
1
Составьте 4 предложения с деепричастиями на тему зимние забавы...
3
Реши уравнение: x*9=900*10 30*x=890-740...
2
Найти концентрацию молекул углекислого газа в сосуде с давление...
1
Составить сочинение из мультика лиса и волк 2 класс...
3
Какой народ придумал шахматы и цифры которые мы называем арабскими...
3
Базовая численность работающих фирмы 1200 чел. в планируемом году...
3
Пусть
Пусть
Разложим на множители
Находим дискриминант
Возвращаемся к замене от z
Возвращаемся к замене от t