tutotveti.ru
Предметы
Биология
Українська мова
Музыка
Французский язык
Физика
МХК
Обществознание
Психология
ОБЖ
Право
Беларуская мова
Литература
Химия
Українська література
Экономика
Немецкий язык
География
Информатика
Қазақ тiлi
Геометрия
Английский язык
Русский язык
Окружающий мир
Алгебра
История
Другие предметы
Видео-ответы
ПОИСК
Войти
Регистрация
Алгебра
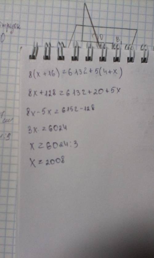
Решив уравнение8(х+16)=6132+5(4+х)
Решив уравнение8(х+16)=6132+5(4+х) вы узнаете в каком году пьер рене делинь получил премию вольфа по
glokol
3 20.08.2019 21:40
0
Ответы
BandaMin
05.10.2020 08:04
3x = 6024,
x = 2008.
ответ: 2008.
ПОКАЗАТЬ ОТВЕТЫ
nastia295
05.10.2020 08:04
Смотри вложение, надеюсь, что там все понятно.
ПОКАЗАТЬ ОТВЕТЫ
Другие вопросы по теме Алгебра
ProstOr1223
18.03.2022 05:43
10. В трех разных сосудах находятся различные жидкости. Высота столбов жидкости одинакова. h h h Рассчитайте гидростатическое давление в третьем сосуде, в котором находится...
РукиКрабы111111111
18.03.2022 05:44
Функция задана уравнением у=-x²-4x+5 а) Найдите вершину параболы; b) В какой точке график данной функции пересекает ось ОУ? c) Найдите точки пересечения графика функции...
ЯговорюПриветАндрей
18.03.2022 05:50
Используя свойство показательной функции , решить уравнение...
Fantom511
18.03.2022 06:09
постройте график функции y=x² + 7x -8 по графику определите точки которые лежат на оси Oy...
MishaZuev1
18.03.2022 06:12
2x(x+17)^2−x^2(x+17)=0 x1 = ? x2 = ? x3 = ?...
Polina8472
18.03.2022 06:14
Решение текстовых задач с составления уравнений и неравенств. Урок 5 овых задач гавления еравенств. В двух книжных шкафах 806 книг, причем в первом шкафу на 48% книг больше,...
ЛИЗАЛАРИНА
16.05.2020 12:18
Решите степень.У выражение и найдите его значение при m=0,5.(m-3)(m+4)-(m+2)^2+(4-m)(m+4)...
borisowskyleff
16.05.2020 12:18
Розв яжіть многочлен у2-3у+у-1-2у2-5у. ПОТРІБНО ДУЖЕ В...
alina97531
16.05.2020 12:17
Очень надо тінемін, көмектесіңізші, өтінемін, өтінемін, өтінемін...
мод8
16.05.2020 12:17
Решите уравнение методом подстановки x-6y= -30...
Популярные вопросы
Iii. перепишите следующие предложения, определите в них видовременные...
1
Написать 10 предложений на тему мое любимое время года: зима. , !...
3
Решите интеграл при заменой переменой честно не понимаю как решать решите...
2
Друзья, составьте загадку про кости человека)) заранее !...
3
2+x/5=x+1/2 черточка означает дробь...
1
Определённая сумма денег которую согласно законодательству граждане...
3
Можно ли кормить эублера вареным мясом курицы...
2
Карлсон съедает по 23 конфеты каждый день. за 8 дней он съел половину...
1
Укажи предложение(-я) с соединительными отношениями. 1)снег похоронит...
1
Вмолекуле и-рнк 60 нуклеотидов. определить число триплетов в гене, число...
2
x = 2008.
ответ: 2008.