tutotveti.ru
Предметы
Биология
Українська мова
Музыка
Французский язык
Физика
МХК
Обществознание
Психология
ОБЖ
Право
Беларуская мова
Литература
Химия
Українська література
Экономика
Немецкий язык
География
Информатика
Қазақ тiлi
Геометрия
Английский язык
Русский язык
Окружающий мир
Алгебра
История
Другие предметы
Видео-ответы
ПОИСК
Войти
Регистрация
Алгебра
Решите дробно-рациональное
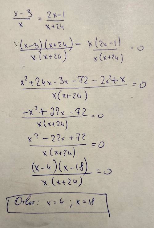
Решите дробно-рациональное уравнение х-3/х=2х-1/х+24
katyushakot201
2 24.09.2019 09:40
6
Ответы
tatianani
08.10.2020 14:49
Решение на фото, вот:
ПОКАЗАТЬ ОТВЕТЫ
SmolentsevaMasha
08.10.2020 14:49
Все ответы на фото:
Удачи!
ПОКАЗАТЬ ОТВЕТЫ
Другие вопросы по теме Алгебра
n2324
04.07.2019 20:40
Прямой угол разделите на три угла, градусные меры которых относятся как 3: 4: 8. найдите величины этих углов....
УЕД
04.07.2019 20:30
Цену товара сначала увеличили на 50 процентов а потом уменьшили на 50 процентов. увеличилась или уменьшилась и на сколько первоначальная цена товара...
kozlovavika200
04.07.2019 20:30
Вычислите с точностью до 0,01 значение выражений x+y, x-y, x*y, x/y, если x=6,18 y=2,24...
Viktoria11112222000
04.07.2019 20:30
При каком значении переменной разность выражений 8х-3 и 3х+4 равна 5?...
anuri1
04.07.2019 20:30
Проволоку длиной 456 м. разрезали на 3 части, причём 1 ч. в 4 раза длинее 3 ч., а 2 - на 114 м. длинее 3 ч. найти длину каждой ч. проволоки....
sofiaytarahteev
04.07.2019 20:30
Решите показательные уравнения: а) 2 в степени х=32; б)3 в степени х+3 в степени х+1=4; в)5 в степени 2х-6*5 в степени х+5=0; г)2 в степени х=7 в степени х...
KateKein
04.07.2019 20:30
Дан график функции у=х^2-3х.используя этот график, решите неравенство х^2-3х 0....
Irish23
04.07.2019 20:30
2cos^2 395+sin^2 1000+2 sin^2 755+cos^2800...
DuRaDoN2017
27.09.2019 02:00
30a в кубе - 18a в квадратеb - 9b в квадрате + 120a разложить на множители...
dimadementev2
27.09.2019 02:00
Решить уравнение 53479÷x=129(202 остаток) ответы 383 413 411 395...
Популярные вопросы
Сказка о мёртвой царевне и семи богатырях волшебная?Если да то...
3
12 из 15 это какая оценка ? очень нужно...
1
Задание 3. Выберите из представленных сведениях о окыпчаках те,...
1
ЧЕТВЁРТОЕ ЗАДАНИЕ ДЕЛАТЬ НЕ НАДО!...
3
С какой производительностью должен печатать офис менеджер чтобы...
3
Astana alemdi tandandirgan kala...
3
Письменное сообщение о заповеднике или нац.парке Африки (на выбор)...
3
Написати твір роздум на тему Символ гуси лебеді летять...
1
Транспортные аварии катастрофы в российской федерации с указания...
2
Варианты ответаНовыйСтарыйСредний...
3
Удачи!