tutotveti.ru
Предметы
Биология
Українська мова
Музыка
Французский язык
Физика
МХК
Обществознание
Психология
ОБЖ
Право
Беларуская мова
Литература
Химия
Українська література
Экономика
Немецкий язык
География
Информатика
Қазақ тiлi
Геометрия
Английский язык
Русский язык
Окружающий мир
Алгебра
История
Другие предметы
Видео-ответы
ПОИСК
Войти
Регистрация
Алгебра
Решить неравенство вынесения
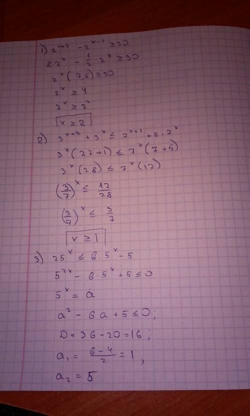
Решить неравенство вынесения общего множителя за скобки): 1) решить неравенство группировки и вынесения общего множителя за скобки) 2) решить неравенство к квадратному) 3) решить неравенство графически 4)
Narine10
3 19.06.2019 17:20
2
Ответы
Жанниет
02.10.2020 05:34
Ну как то так. Держи, вообщем
ПОКАЗАТЬ ОТВЕТЫ
Другие вопросы по теме Алгебра
lera933737
02.08.2019 23:50
Если а+b 0 то а^3 +b^3 или равно а^2b+аb.^2...
pipia07
02.08.2019 23:50
Решить из формулы p=m выразите переменную v через p и m v...
vagiz7000
02.08.2019 23:50
Y=5x-3 установить основные свойства функции...
danil546
02.08.2019 23:50
Найдите нули функции (если они существуют) а)y=4+2x/x^2+5 б)y=6/(x-1)(x+8)...
Georgiy111111
02.08.2019 23:50
Решите, систему: 5(x-y)=10 3x-7y=20-2(x+y)...
простоя43
02.08.2019 23:50
Y-квадрат - 9x квадрат - (типо дробь) 18x квадрат - 6xy...
смерть73
02.08.2019 23:50
2х^2+5х+56=(х-4)^2 решите уравнение пож...
grasdas
02.08.2019 23:50
Как решить -2,4+35,05(1,4-0,9)= и 2 -- x 2,8-(5+143)= 5...
Darya4567
02.08.2019 23:50
Автомобиль двигался t часов со скоростью 60 км/ч и р со скоростью 50 км/ч. какова средняя скорость автомобиля...
Kaser3er
02.08.2019 23:50
Объясните как решать (сокращение дробей) например: а(x-2y)/b(2y-x)...
Популярные вопросы
Разделить последовательность А(10) на два массива, записать...
2
География 10 класс практическая работа номер...
3
А мен б ны көмектесіп жберіндерш рахмет!...
1
1. Қазіргі уақыттағы программалық жасақтаманың сапа критерийлерін,...
3
РЕШИТЕ СКРИН И ЧТО ДАНО ЕСТЬ? >...
1
Стих про лилипутов умоляю вас...
1
СУММАТИВНОЕ ОЦЕНИВАНИЕ ЗА РАЗДЕЛ «КВАДРАТНЫЕ КОРНИ И ИРРАЦИОНАЛЬНЫЕ...
2
11.Ас қорыту бездерінің ең үлкені...
3
2. Найдите координаты вектора с — 4р, если с(-2; 8), p(6; 2)...
1
Мына шіркіннің баласы тойдым деп қарап отырмас қарным ашты деп...
1