tutotveti.ru
Предметы
Биология
Українська мова
Музыка
Французский язык
Физика
МХК
Обществознание
Психология
ОБЖ
Право
Беларуская мова
Литература
Химия
Українська література
Экономика
Немецкий язык
География
Информатика
Қазақ тiлi
Геометрия
Английский язык
Русский язык
Окружающий мир
Алгебра
История
Другие предметы
Видео-ответы
ПОИСК
Войти
Регистрация
Алгебра
Представте в виде квадрата
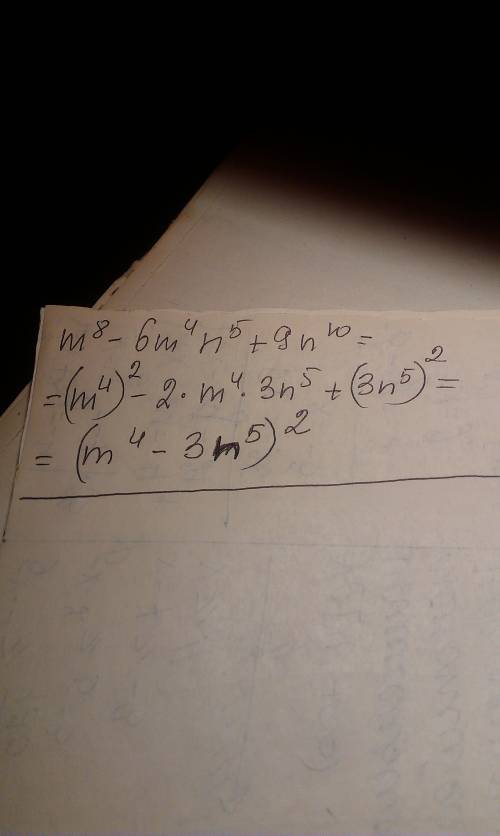
Представте в виде квадрата двучлен m^8-6m^4n^5+9n^10
motovsavelymotOv
2 01.09.2019 23:30
1
Ответы
eleniuuum
06.10.2020 10:41
Решение смотри на фотографии
ПОКАЗАТЬ ОТВЕТЫ
Другие вопросы по теме Алгебра
круичаррип
16.08.2019 04:20
Выражение – 18х в кубе · 2у в квадрате х...
прапрр
16.08.2019 04:20
1)найдите корень уравнения: √30-x=x 2)найдите корень уравнения: log0.5(8-x)=-5 3)найдите корень уравнения: 9^2+5x=1.8*5^2+5x...
xawodilal
16.08.2019 04:20
Arccos (-√2/2) - arctg 1 + arcsin 0 = ?...
ника43556
16.08.2019 04:20
Решите методом подстановки систему ур-ния: 2у-8х=5 у-3х=9...
Elfsp1r1t
16.08.2019 04:20
Найдите наименьшее натуральное число x при котором значение функции делиться на 17 f(x)=x3+2x2+2x+4...
Диана15688
16.08.2019 04:20
Что,такое будильник,и кто его основал?...
Huliganka3009
24.04.2020 13:21
Исследовать ряды на сходимость. 4 любых примера. ВЫШ МАТ...
Aleksandrik0806
24.04.2020 13:21
Запишите уравнение прямой, паралельной графику функции у=7х+8 и проходящий через начало координат...
kymbat2016
04.06.2019 13:50
Вычислите наиболее рациональным в квадрате минус 112 в квадрате и разделить все это на 204*652..тут тема формулы сокращенного умножения, а я её не понимаю(...
Xxxmara
04.06.2019 13:50
Записать многочлен в стандартном виде (5х-у-2)2+2(3х-у-1)2...
Популярные вопросы
Задание по ОБЖ 5. Назовите характерные признаки отравления сильнодействующими...
1
Сколько граммов азотной кислоты вступило в реакцию с 20г гидроксида...
1
Вычисли радиус круга, если его площадь...
1
Запишите окончания глаголов: ед. ч. мн. ч. 1 лицо 2 лицо 3 лицо...
1
Выбери вещества, вступающие в реакции с высшим оксидом химического...
3
Ну решите ДВА варианта сразу. я очень тупой☹️...
1
КАКИМ ЧЕЛОВЕКОМ ВЫ ВИДИТЕ ГАБДУЛЛА ТУКАЯ...
3
1) 2) дискретными,непрерывными измерить,дискретизировать,подсчитать...
2
Від яких ВЕЛЕЧИН залежить опір провідника?...
3
Сочинение на тему .(Книгу нужно любить... Подбирайте не менее...
3