tutotveti.ru
Предметы
Биология
Українська мова
Музыка
Французский язык
Физика
МХК
Обществознание
Психология
ОБЖ
Право
Беларуская мова
Литература
Химия
Українська література
Экономика
Немецкий язык
География
Информатика
Қазақ тiлi
Геометрия
Английский язык
Русский язык
Окружающий мир
Алгебра
История
Другие предметы
Видео-ответы
ПОИСК
Войти
Регистрация
Алгебра
очень надо подробно
очень надо подробно только не делайте если не знаете))
главный8
3 15.03.2020 05:46
0
Ответы
irinavardanyan
11.10.2020 21:50
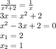
#1.
#2.
#3.
#4.
Нет корней
ПОКАЗАТЬ ОТВЕТЫ
Другие вопросы по теме Алгебра
даша89194733164
25.04.2020 22:48
Укажите промежутки возрастания функции график которой изображён на рисунке...
Andreeva555
25.04.2020 22:48
Алгебра 8класс побыстрее спать хочу)...
annapalko044
25.04.2020 22:48
Побудуйте графiк рiвняння 3x - y = 6...
ника2569
25.04.2020 22:48
Найдите среднее значение моду медиану и размах для выработки 1) -3, -3,4,4,4,6,6-3,-2,4,5,-4...
gordeevlogain2
25.04.2020 22:48
найти производную функции: ó=õ-1/õ...
HDHDvdvsvvs
25.04.2020 22:50
У выражение 3а/а^2+ав - 3а/ в^2+ав...
yestarday23
18.10.2020 00:29
-(2 1/2•0,24-15/29)•(5,45+1 4/45-6 1/18)+36,05:10,3...
anna1866
18.10.2020 00:34
У(х) = х3–3х2+7х–1 алғашқы функция...
Denhuk
18.10.2020 00:37
Опередилите неполные квадратные уравнения и укажите коэффициент, равный нулю ...
dedmoros1234567
05.09.2019 19:40
Вычислите: sqrt(sqrt(28-16(sqrt(=? если можно, то все подробно...
Популярные вопросы
Слова, связанные с какой-либо профессией, называются...
2
Рассмотрите рисунок «Внутреннее строение собаки». Распределите в тетради названия...
3
Берілген сөздердің синонимін мәтіннен тауып жазыңыз а)керемет с)еліне...
2
Радиус круга равен 7,6 см. Значение числа π≈3,14. Определи площадь этого круга...
3
І варіантВибрати одну правильну відповідь 1. Укажіть рук утворення Галицько-Волинської...
2
Школьники выбирают место для катания на санках. Какой из участков, обозначенных...
2
с суммативной работой по информатики смотрите скриншот...
1
Футболка стоит 130 рублей, брюки - в 4 раза дороже футболки, а свитер - на 300...
3
Написать эссе самое красивое место моего региона 80-100 слов(я живу в казахстане.карагандинская...
2
Определи, в какой координатной четверти находится данная точка. Точка K(−23;−19)...
3
#1.
#2.
#3.
#4.
Нет корней