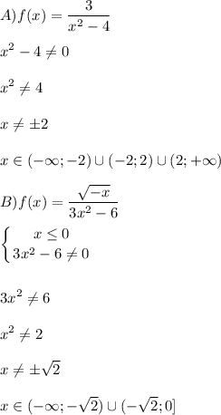
Найдите область определения функций А) f(x) = 3/(x^2-4) Б) f(x) = sqrt(-x)/(3x^2-6) Sqrt - Корень.

bogdanserebria bogdanserebria    1   21.06.2020 17:03    0

Ответы
Наталья0101 Наталья0101  15.10.2020 14:36

Объяснение:

А) f(x) = 3/(x^2-4)

x²-4≠0

(x-2)(x+2)≠0

x≠ 2 ; -2 иначе x≠±2

x∈(-∞;-2)∨(-2;2)∨(2;+∞)

B) f(x) = sqrt(-x)/(3x^2-6) - измененное :  (√-x)/(3x²-6)

{-x≥0         {- система

{3x²-6≠0

{x≤0

{3(x²-2)≠0

{x≤0        ⇒     {x≤0                       ⇒{ x≤0

{x²-2≠0            {(x-√2)(x+√2)≠0        {x≠ √2 ; -√2 иначе x≠±√2

x∈(-∞;-√2)∪(-√2;0]

ПОКАЗАТЬ ОТВЕТЫ
Другие вопросы по теме Алгебра