tutotveti.ru
Предметы
Биология
Українська мова
Музыка
Французский язык
Физика
МХК
Обществознание
Психология
ОБЖ
Право
Беларуская мова
Литература
Химия
Українська література
Экономика
Немецкий язык
География
Информатика
Қазақ тiлi
Геометрия
Английский язык
Русский язык
Окружающий мир
Алгебра
История
Другие предметы
Видео-ответы
ПОИСК
Войти
Регистрация
Алгебра
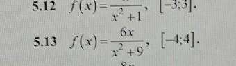
Найдите наибольшее и наименьшее
Найдите наибольшее и наименьшее значение функции y=f(x) на отрезке [а;в]
Matveu331
1 30.11.2021 14:57
2
Ответы
Показать ответы (3)
Другие вопросы по теме Алгебра
AAndrey7600
15.05.2020 14:50
Найдите вероятность того, что при пяти бросках игральной кости 3 очка выпадут не более двух раз....
natalijamatijch
15.05.2020 14:50
С ть вираз і знайдіть його значення 2,5(х-4)+1,2(8-х) , якщо х...
ayselhasilova
15.05.2020 14:50
Приближенное значение числа х равно а . Относительная погрешность этого приближения равна 0,01 ,то есть 1 %. Найдите абсолютную погрешность. если а=2,71...
kirillyamont2
15.05.2020 14:50
1. Постройте график функции y=x^2-4+4 С графика найдите: 1) нули функции 2) промежуток, на котором функция возрастает 3) промежуток, на котором функция убывает 2. Решите неравенство:...
korolev98
15.05.2020 14:50
Функция задана формулой 434 ух . Найдите значение аргумента, при котором 6...
Lola1986
15.05.2020 14:49
Выполните действия с алгебраическими дробями нужен правильный ответ ...
lgolar
15.05.2020 14:49
Дан график 2x-3 функции. y=kx+b. Графиком функции является . Сравни (скопируй в каждое окошко соответствующий знак или ): k 0; b 0. Функция возрастает или убывает? Функция ....
snegierevayanap08i8i
15.05.2020 14:49
Дополни словесную модель по математической: {7x+7y=633x−2=2y Две бригады работали на уборке капусты. В первый день одна бригада работала 7 ч., вторая — 7 ч., и собрали вместе ц капусты....
DARKFEST1
12.12.2020 08:07
Построй график функции y=-5x+2cрочно ...
annalukyanova7
12.12.2020 08:07
Решите уравнение:х + 2 - 4(х - 2)=5(3 - х)+ 3 Пошаговое обьяснение!...
Популярные вопросы
чем дальше от экватора тем дольше......
1
класс онлайн мектеп Жай бөлшектерді косу және азайту. 6-сабақ...
3
Заполни таблицу Виды ремесел: Какое сырье использовали? Какие изделия производили?...
1
Задание 1. Дайте развёрнутый ответы на вопросы! 1.Образы каких героев создают сказочно-фантастическую...
1
Составить комплекс из 10 упражнений на гимнастическом коврике с пиктограммами....
3
Надо определить аккорды(фото ниже)....
2
1. Діагоналі трапеції ділять її середню лінію на частини, кожна з яких дорівнює...
1
ЗА) Напишите наибольшее целое число х, для которого истинно высказывание: НЕ (Х...
1
Игра «Калейдоскоп». Калейдоскоп – прибор, в котором можно видеть быстро сменяющиеся...
2
Ерітінді ортасы бейтарап болатын заттарды сипаттайтын дұрыс тұжырымдарды анықта....
3