tutotveti.ru
Предметы
Биология
Українська мова
Музыка
Французский язык
Физика
МХК
Обществознание
Психология
ОБЖ
Право
Беларуская мова
Литература
Химия
Українська література
Экономика
Немецкий язык
География
Информатика
Қазақ тiлi
Геометрия
Английский язык
Русский язык
Окружающий мир
Алгебра
История
Другие предметы
Видео-ответы
ПОИСК
Войти
Регистрация
Алгебра
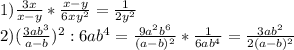
3xy/x-y·x-y/6xy² (3ab³/a-b)²:
3xy/x-y·x-y/6xy² (3ab³/a-b)²: (6ab^4)
taykinamatilda
2 30.09.2019 18:01
5
Ответы
абвгдежзи7777
09.10.2020 06:02
ПОКАЗАТЬ ОТВЕТЫ
Obcenceee
09.10.2020 06:02
ответ прикреплен, надеюсь правильно
ПОКАЗАТЬ ОТВЕТЫ
Другие вопросы по теме Алгебра
Remrans
26.07.2019 11:20
Люди добрые, решите мне ! два человека отправляются из одного и того же места на прогулку до опушки леса, находящейся в 2,7 км от места отправления. один идет со скоростью...
konfetkamailrup0acjk
26.07.2019 11:20
Вычислите 3 cos(п/2+а)+2sin(п-а)/2cos(п+а)-3sin(3п/2+а) если tg а=4...
Hi12349
26.07.2019 11:20
Найти длину дуги,опирающийся на центральный угол,равный 60...
Nikto58
26.07.2019 11:20
Решить неравенство -2x-9 0 2x-3 4...
аринашум2007
26.07.2019 11:20
Найдите производную функции у = х ^ 2 / lg5x...
viktoriyabochko
26.07.2019 11:30
Как разложить на множители ax²+2ax+a...
kburuncenco307
26.07.2019 11:30
Найдите значения выражения (дроби) (12/11-17/10): 5/22...
чо2
26.07.2019 11:30
Решить уравнения. 1.x^2+3x=0 2.x^2-5x+6=0 3.(x^2+4)(x^2-5)=0 4.x^3-5x^2+6x=0 5.x^2(x^2-5x+6)=9(x^2-5x+6)...
Таня13151814
26.07.2019 11:30
Найдите значение выражения 5 в 11 степени • на 125 и разделить на 5 в 12 степени....
maxim199431
26.07.2019 11:30
Решить дифференциал .. y(x)= x/5+x ; d2y-?...
Популярные вопросы
Я требую отсрочки на три дня, чтобы подготовиться предстать перед богом;...
3
Отметьте на луче каждый элемент множества( 2.4.9.5.7.11) И (3.8.5.10.6)...
3
надо!! Найдите значение выражения:...
1
Сор по алгебре 7 класс сократите дробь, выполните действия НУЖНО...
3
101 бет 14 жаттығу Мына курдели сын есимдерди катыстырып соилестинба...
1
Очень надо На русском В какой массе воды нужно растворить 1,8 г натрия...
3
У скільки разів збільшиться(зменшиться) дріб 2.4 якщо кому перенести...
3
1 ,5-аминопентан 2 ,3-диаминобутан...
1
Тағы бір көмек мына суреттердің атауын кім білелі ккен...
1
Сліпий музикант ть будь ласка , дуже...
3