tutotveti.ru
Предметы
Биология
Українська мова
Музыка
Французский язык
Физика
МХК
Обществознание
Психология
ОБЖ
Право
Беларуская мова
Литература
Химия
Українська література
Экономика
Немецкий язык
География
Информатика
Қазақ тiлi
Геометрия
Английский язык
Русский язык
Окружающий мир
Алгебра
История
Другие предметы
Видео-ответы
ПОИСК
Войти
Регистрация
Математика
Начертите в тетради координатный
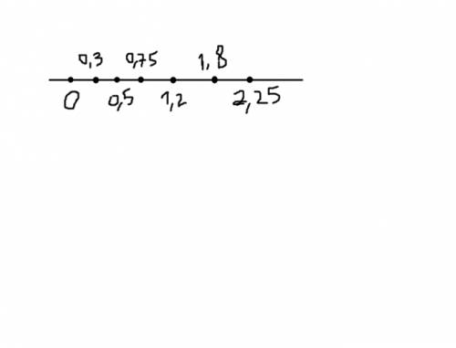
Начертите в тетради координатный луч с единичным отрезком.отметьте на нем точки,которые соответствуют числам: 0,3; 0,5; 0,75; 1,2; 1,8; 2,25.(сфоткайте)
katyabobkova
1 19.07.2019 05:50
0
Ответы
rndmymail
22.09.2020 10:23
У себя по клетках нарисуйте.
ПОКАЗАТЬ ОТВЕТЫ
Другие вопросы по теме Математика
aodushkina824oya9o5
27.04.2021 08:54
ТЕКСТ ЗАДАНИЯ 1. Заполните таблицу: Проценты Обыкновенные дроби Десятичные дроби 0,7 67% 19/ 25...
bogdansudak2006
27.04.2021 08:54
При каком значении a прямая ax + 5y = 9 проходит через точку пересечения графиков уравнений 5x + 4y = 6 и 7x + 6y = 2?...
huesosoff2016
27.04.2021 08:54
150 8Теңдеулерді шеш.+47 972): 75-600 =512 400(z - 30 985): 15 = 12 000 - 97313-х – 7 800 = 1200(k +2 958):57 = 139Помаги ...
BONDsCNOPCOI
27.04.2021 08:54
с 3 заданием, найдите величину данного угла....
guiuhui
27.04.2021 08:54
младшей группе кружка юный астронавт занимается 45 школьников старше 20 Сколько метров проволоки нужно закупить чтобы каждому досталось для поделки по 4 м б) для этого кружка...
kpy4
27.04.2021 08:53
Здравствуйте , решить систему уравнений ...
alexaaa2
27.04.2021 08:53
Зделать шлажок! На координатной прямой!...
Адильхан435
27.04.2021 08:53
Сколько упаковок плитки необходимо купить для дорожек между грядками, если она продаётся в упаковках по 6 штук?...
etomalo
27.04.2021 08:53
Оцените интеграл, т.е указать два числа, между которыми заключено значение интеграла ( на фото 2е)...
alinarynkevich2007
27.04.2021 08:53
Высшая математика! Нужна ! Заранее ! ...
Популярные вопросы
Докажите тожество 1) а-(6а-11)+(9-7а)равно20-12а2) 5(3b-4)-4(3b-11)+5равно36+293)18-9(c-...
3
Территория Яка Була приеднанаНадо до Руси за Князя Игоря...
1
1. Распределите в две колонки: 1- предлоги 2 - остальные части речи: благодаря...
1
написать отзыв по повести станционный смотритель...
1
1. В каком из фильмов (2008 года или 1956 года) образ главного героя Евгения...
1
Определите лексическое значение данных слов укажите к какому типу многозначности...
2
этот предмет называется Право но я его обозначу в общество знание ...
2
Карина достала из коробка несколько спичек и собрала из них сетку. 3х7 из...
1
ИЗООО Для чего человеку нужны фантазия и воображение? А) Чтобы уметь мечтать...
1
Не выполняя построения графика функции y =x в квадрате, определите, проходит...
3