tutotveti.ru
Предметы
Биология
Українська мова
Музыка
Французский язык
Физика
МХК
Обществознание
Психология
ОБЖ
Право
Беларуская мова
Литература
Химия
Українська література
Экономика
Немецкий язык
География
Информатика
Қазақ тiлi
Геометрия
Английский язык
Русский язык
Окружающий мир
Алгебра
История
Другие предметы
Видео-ответы
ПОИСК
Войти
Регистрация
Математика
БЕЗ ЛИШНИХ ОТВЕТОВПО ТИПУСАМ
БЕЗ ЛИШНИХ ОТВЕТОВ
ПО ТИПУ
САМ ДЕЛАЙ
ВЖЖВЖВЖВВЖЖВ
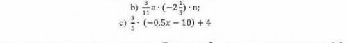
у меня осталось даю
23v
3 08.12.2021 07:18
0
Ответы
rigorevich17
25.01.2022 13:16
Удачи!
ПОКАЗАТЬ ОТВЕТЫ
Другие вопросы по теме Математика
АзизОсманов
05.09.2019 02:10
Система 4x-2y=2; 2x+3y=11 постановкой...
0ananasik0
05.09.2019 02:10
Вмагазине ученик купил за 675 тг две художественные книги.если одна книга стоит в 1,5 раза меньше,то сколько стоит вторая книга?...
Motornerplay
05.09.2019 02:10
Докажите,что числа 136 и 119 не взаимно простые...
Шишеа
05.09.2019 02:10
2-3 рецепта сладостей и ингридиенты....
Komar1006
05.09.2019 02:10
Есептеуді тексере аламын. қатесін тап. түзетіп жаз 4 онд. 5бірл =4566=6онд 77=1онд .7бірл 18=1 онда. 8бірл. 90=9 бірл....
SOV20
05.09.2019 02:10
Если чертить отрезок 60мм, сколько это будет в см....
neshm08meshca
05.09.2019 02:10
Периметр равнобедренного треугольника 22 см,а одна его сторона 8см.найди две другие стороны...
Лина5678
05.09.2019 02:10
Кдвузначному числу приписали цифру 5 сначала слева, а потом справа - получили 2 трёхзначных числа, разность которых равна 234. найдите двузначное число. запишите ход...
AbdurrahmanSam
05.09.2019 02:10
Код города до села автомашина шла со скоростью 65км/ч,в течение 2х часов сколько времени потребуется велосипедисту на этот путь?...
pavelivanov199ozg2xn
05.09.2019 02:10
Чему равно наименьшее общее кратное чисел 8 и...
Популярные вопросы
Каковы особенности летом по сравнению с другими?)...
1
Скласти формулу купрум (III) гідроксид...
3
600-(15*10+15*20) столбиком...
1
3 задание, буду очень благодарен!...
1
Олесь Бердник.«Хто зважиться – вогняним наречеться». ІІ-ІV ч. 1)...
2
Забирай бесплатная удаляю аккаунт...
2
Иванова М. обратилась в суд с иском к Иванову И. об истребовании...
3
З греблі висотою 19 м за 10 хв падає 400 т води. Яка потужність...
1
У яких горах материка простежується найбільша кількість вертикальных...
3
ребята сообщение о храме Христа всё самое необходимое всю хреноту...
2