20 путешественников отправились в путь на трех лодках в двух лодках разместилось одинаковое число человек а последняя на 1 меньше сколько человек было в каждой лодке путешественники взяли с собой 50 60 кг продуктов снаряжения в весело столько же сколько продукты сколько килограмм груза приходится на каждого в каждой лодке погрузили груз соответствует числу туристов в лодке какой cruze несет каждая лодка если считать по мосту к туристам одинаковое разный 80 кг

Malishok12345 Malishok12345    2   23.09.2019 07:30    0

Ответы
ang18 ang18  08.10.2020 11:45
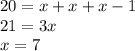
Пусть х-число человек в одной лодке то
20 = x + x + x - 1 \\ 21 = 3x \\ x = 7
Т.е в двух лодках по 7 человек
а в последней 6.
ПОКАЗАТЬ ОТВЕТЫ
Другие вопросы по теме Математика