tutotveti.ru
Предметы
Биология
Українська мова
Музыка
Французский язык
Физика
МХК
Обществознание
Психология
ОБЖ
Право
Беларуская мова
Литература
Химия
Українська література
Экономика
Немецкий язык
География
Информатика
Қазақ тiлi
Геометрия
Английский язык
Русский язык
Окружающий мир
Алгебра
История
Другие предметы
Видео-ответы
ПОИСК
Войти
Регистрация
Другие предметы
При действии избытка концентрированной
При действии избытка концентрированной серной кислоты на кристаллический хлорид натрия массой 11,7 г выделился хлороводород объемом
Adln48
2 17.04.2019 07:30
54
Ответы
sasasara97ag
07.06.2020 14:34
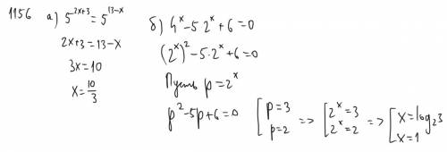
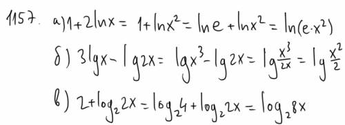
Решение на картинках.
ПОКАЗАТЬ ОТВЕТЫ
Другие вопросы по теме Другие предметы
миллер6
17.04.2019 07:00
В какие виды энергии превращается световая энергия при фотосинтезе и где происходит это превращение?...
lizaveta19961
17.04.2019 07:00
Каким организмам характерно внутреннее оплодотворение...
kirillshe2012
17.04.2019 07:00
Какой резус – фактор крови может быть у детей, если у отца отрицательный резус – фактор крови, а у матери – положительный,...
guchsuqa
17.04.2019 07:00
Какие организмы развиваются с превращением...
InolaRomanova
17.04.2019 07:00
Какой органоид клетки представляет собой систему внутриклеточных цистерн, в котором накапливаются вещества, синтезированные клеткой...
базарганово
17.04.2019 07:00
Какое из перечисленных веществ является белком а) фруктоза б) РНК в) инсулин г) сахароза...
tanyakozina00
17.04.2019 07:00
Если молекула ДНК содержит 31% нуклеотида Т, то чему должно равняться количество Ц?...
валентина268
17.04.2019 07:00
Совокупность всех генов, полученных от родителей – это:...
gerastern
17.04.2019 07:00
Какое обозначение соответствует гомозиготному организму:...
djekichan123
17.04.2019 07:00
Постройте отрезок АВ длиной 8 см. На этом отрезке отметьте точку С так, что АС=3BC. На сколько сантиметров отрезок АС длиннее отрезка ВС?...
Популярные вопросы
Что такое любовь.и как она проявляется?...
2
Площадь квартиры 60 метров в квадрате . кухня занимает две пятнадцатых...
3
Добавте сравнение ветер завывает как,...
3
Реакция метилата натрия с разбавленной серной кислотой...
1
Найти прозводные для функции f(x)=sinx a) cos x. b) cos x, c) -sinx,...
2
Укажите неверное утверждение. а) забыв — деепричастие совершенного...
3
На фабрике крупы было в 4 раза больше,чем в магазине.после того...
3
Одна бригада завода изготовила 24 телевизора за рабочий день (8...
1
Сократите дроби их к наименьшему общему знаменателю 25/30 и 35/45,...
1
Разложить многочлен на множители 1/25 a^2-! !...
2