tutotveti.ru
Предметы
Биология
Українська мова
Музыка
Французский язык
Физика
МХК
Обществознание
Психология
ОБЖ
Право
Беларуская мова
Литература
Химия
Українська література
Экономика
Немецкий язык
География
Информатика
Қазақ тiлi
Геометрия
Английский язык
Русский язык
Окружающий мир
Алгебра
История
Другие предметы
Видео-ответы
ПОИСК
Войти
Регистрация
Другие предметы
Отметь газообразное вещество.
Отметь газообразное вещество. 1) молоко 2) алюминий 3) пар 4) соль
френкинштеин
2 16.04.2019 23:00
6
Ответы
metior
30.05.2020 00:04
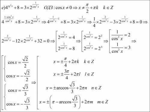
Решение смотри во вложении..........................
бедный-бедный ребенок
ПОКАЗАТЬ ОТВЕТЫ
Другие вопросы по теме Другие предметы
рано12
10.02.2021 12:34
Проанализируйте стихотворение А.Н. Апухтина «День ли царит, тишина ли ночная…» по плану: 1.История создания стихотворения: когда оно было написано, по какому поводу, кому автор...
ArinaMiji
10.02.2021 12:33
Що таке активна громадська позиція? Як ви оцінюєте свою громадянську позицію?...
Osminozhka09
10.02.2021 12:32
Найдите ошибки в приведённых ниже примерах деления: 1) Транспорт бывает наземным, подземным, водным, воздушным, общественным и личным . 2) По темпераменту люди делятся на сангвиников,...
артем1488337
04.09.2021 15:18
Подготовить материал. Руны скандинавских народов...
Зикош02
04.09.2021 15:21
Форма благотворительности, в той или иной степени доступная каждому человеку. М_ _О_Т_Н...
Клевая401
27.04.2020 16:24
Оформить инструкционную карту «Любимое лакомство нашей семьи» с использованием теста, указать вид теста...
nshexovceva18
27.04.2020 16:24
Расшифруйте обозначенияГОСТ 37-91, ОСТ...
fd1132
07.04.2020 16:26
Назовите буквальное значение слова республика1Страна свободных2Общее дело3Объединение граждан4Народный дом...
саидолим
07.04.2020 16:26
Случай с кошельком по П.Шеманаеву ИЗЛОЖЕНИЕ, ТОЛЬКО НЕ ТОЧ В ТОЧ, НУЖНО ПО СВОЕМУ НО СМЫСЛ ТОТ ЖЕ...
djugju
07.04.2020 16:26
Запишіть перших 5 членів арифметичної прогресії якщо (на фото ) тема арифметическая прогресия...
Популярные вопросы
Берілген сөйлемнің сызбасын тап.Абай : Байқап сөле деді...
2
II. Мәтін бойынша қойылған сұрақтардың дұрыс жауабын таңда. 1. «Атамекен» әнінің...
3
На төл сөз и автор сөз придумать мысал надо ...
2
Длина стороны правильного многоугольника равна 25,6 см. Если один из внутренних...
1
The vertices of the parallelogram are given by A (2: 3), B (1; 4), C (0; -2)....
1
Ежик соревновался с кроликом в беге на 60 метров. Когда кролик дошел до финиша,...
1
8. Посчитайте квадраты в каждой фигуре и най-дите значения их площадей:п...
3
Давление бруска наименьшее...
1
Найдите и исправьте ошибку в каждом предложении. 1 This salad has too much beans....
1
Текст:Периметр квадрата равен 24 дм.Найди сторону квадрата.Подсказка-a=P:4...
3
бедный-бедный ребенок