Морфемные классы выявляются на парадигматических основаниях в каждом функциональном типе морфем как парадигмы

Кatе Кatе    1   16.04.2019 22:42    0

Ответы
masha3231 masha3231  29.05.2020 18:26

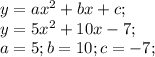
y=ax^2+bx+c;\\ y=5x^2+10x-7;\\ a=5; b=10; c=-7;\\

абсциса вершина параболи

x=-\frac{b}{2a}; x=-\frac{10}{2*5}=-1;

відповідь: -1

ПОКАЗАТЬ ОТВЕТЫ
Kasha26336 Kasha26336  29.05.2020 18:26

Знайдіть абсцису вершини параболи у = 5Х квадрат + 10Х - 7

 

xo=-b/2a=-10/10=-1

ПОКАЗАТЬ ОТВЕТЫ
Другие вопросы по теме Другие предметы