Главной своей задачей Временное правительство считало проведение выборов в _ собрание, которое должно было определить будущее

7Настася7 7Настася7    3   16.04.2019 22:42    3

Ответы
Ro4KKy Ro4KKy  29.05.2020 17:27

надеюсь понятно будет...


Главной своей задачей Временное правительство считало проведение выборов в _ собрание, которое должн
ПОКАЗАТЬ ОТВЕТЫ
ZenRenson ZenRenson  29.05.2020 17:27

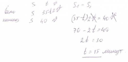
Если бы не поломка, велосипедист бы затратил в 2 раза меньшее время, чем пешеход, то есть 20 минут. Но он затратил в итоге: 40-5=35 минут.

Значит поломку он устранял: 35 - 20 = 15 минут.

ПОКАЗАТЬ ОТВЕТЫ
Другие вопросы по теме Другие предметы