tutotveti.ru
Предметы
Биология
Українська мова
Музыка
Французский язык
Физика
МХК
Обществознание
Психология
ОБЖ
Право
Беларуская мова
Литература
Химия
Українська література
Экономика
Немецкий язык
География
Информатика
Қазақ тiлi
Геометрия
Английский язык
Русский язык
Окружающий мир
Алгебра
История
Другие предметы
Видео-ответы
ПОИСК
Войти
Регистрация
Другие предметы
Электровоз движется с постоянной
Электровоз движется с постоянной скоростью 43,2 км/ч, развивая при этом среднюю силу тяги 40 кН. Определите КПД двигателей электровоза,
Danil21K
2 16.04.2019 23:00
5
Ответы
данила307
30.05.2020 00:47
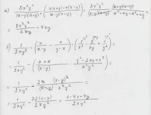
Решение в приложении
разбирайся! дальше в математике без этой темы никуда
P.s. а учиться надо для себя, а не для мамы:-)))
ПОКАЗАТЬ ОТВЕТЫ
Другие вопросы по теме Другие предметы
orazaymesaurov
15.04.2020 16:07
Саша, изучая возможности графического редактора, изменил одну из характеристик картинки слева. В итоге получилось то, что вы видите на картинке справа. Какой из параметров Саша...
Вика1609000
15.04.2020 16:08
) по биографии Н.А. Римского-Корсакого и перечислите 3 оперы-сказки, который сочинил Римский-Корсаков....
olgaocher
15.04.2020 16:08
Ребят,подскажите Почему реклама всё время вылазит? Надоела уже Только не пишите всякую чушь, а то отмечу как нарушение!...
timirshan
05.12.2020 12:28
Россия, Великобритания , ОАЭ ФРАНЦИЯпо какой теории государства они возникли?...
676751
05.12.2020 12:28
Задача по технической механике, Вариант№5 Схема№1 Все на картинках. Мучаюсь уже 3 сутки. Сдавать завтра...
Kseiaa
05.12.2020 12:30
С какой целью проводится несколько измерений сопротивления при разном положении потенциального электрода? Коррозия...
Gayal1961
28.08.2019 20:30
Если число 900 уменьшить на 2, то получится 899?...
hrapatiynickita
28.08.2019 20:30
15 предложений по казахскому языку на тему медео.! быстро .и правельно. умоляю...
sisennova03
28.08.2019 20:30
Напишите текст на тему на уроке языка чтобы там были слова(не одушевлённые существительние,непостоянные признаки части речи,не полные ,а краткие прилагательные,не слитное ,а раздельное...
quipklack
28.08.2019 20:30
Яне могу понять нормально что такое: значение квадратов однозначных чисел?...
Популярные вопросы
умоляю! нужно заполнить таблицу( выберите одну из них- она одна и та же). тема...
2
Оа = 8, ов = 6, ос = 5, ок = 2, sаов = 20. найти s сок ....
2
Примеры разных предложений с разными придаточных,но во всех должен быть союз...
1
Втреугольнике abc проведена медиана ae. найдите be, если известно что ab=40,1...
2
Ученикам 10 класса вопрос прочитайте высказывания представителей различных религий...
1
Конденсаторы c1=0.2 мкф, c2=0.6 мкф, c3=0.3 мкф, c4=0.4 мкф соединены, как показано...
2
Даны три числа: 11, 55 и 22. подбери четвёртое число так, чтобы из чисел можно...
1
1. сравните структуры, с которых происходит выделение у плоских, круглых и кольчатых...
3
Чему равно расстояние от санкт-петербурга до северного полюса по меридиану в...
3
Смотри фото там вопрос ответь если не трудно...
1
разбирайся! дальше в математике без этой темы никуда
P.s. а учиться надо для себя, а не для мамы:-)))